백양산 롯데캐슬 골드센트럴 분양가 평면도 모델하우스 계약금 대출
백양산 롯데캐슬 골드센트럴 분양가 평면도 모델하우스 계약금 대출

롯데건설이 부산광역시 부산진구 부암1구역 재개발 ‘백양산 롯데캐슬 골드센트럴’의 1순위 접수를 23일 시작합니다. 백양산 롯데캐슬 골드센트럴에 대해서 아래에서 확인해 보도록 하겠습니다.
백양산 롯데캐슬 골드센트럴 개요
백양산 롯데캐슬 골드센트럴은 부산진구 부암동 567번지 일원,에 지하 4층 ~ 지상 34층, 21개 동, 총 2195세대 규모로 조성되며 이중 조합원분을 제외한 1442세대가 일반분양 된다. 전용면적 타입별 분양 세대수는 △59A㎡ 534세대 △59B㎡ 110세대 △72㎡ 100세대 △84A㎡ 465세대 △84B㎡ 199세대 △101A㎡ 19세대 △101B㎡ 15세대다.

백양산 롯데캐슬 골드센트럴 숲세권
단지는 부산에서 금정산에 이어 두번째로 높은 백양산을 배후에 두고 있어 백양산을 쉽게 오를 수 있는 숲세권 단지다.
백양산 롯데캐슬 골드센트럴 조경
조경은 백양산의 사계절 변화와 어울리도록 계절별 특징 있는 색깔이 구현되도록 설계됐다. 특히 4계절 뿐 아니라 초봄, 초여름, 늦가을 등의 간절기로 이어지는 자연스러운 계절변화를 단지안에서 느낄 수 있다. 단지 중앙에는 웅장한 규모의 ‘향기의 숲’ 광장이 조성되며 5가지 테마의 산책로와 13가지 테마의 정원을 꾸며 도심 속에서 리조트 같은 단지 조경을 특화 했다.

백양산 롯데캐슬 골드센트럴 개발 호재
백양산 롯데캐슬 골드센트럴이 있는 부산진구는 28개 정비사업이 추진 중이다. 부전역이 복합환승센터로 2028년(예정)경 완공될 예정이다. 또한 범천동에 있는 부산 철도정비창 부지는 2030년까지 복합개발을 통해 주거, 상업, 문화, 메디컬, 업무시설 등이 들어설 계획이다. 2020년 아파트 재개발 분양단지에 대해서 추가적인 정보는 아래에서 확인하세요.
백양산 롯데캐슬 골드센트럴 커뮤니티
입주자를 위한 다양한 커뮤니티 시설도 도입된다. 입주자의 가족이나 친구 등의 방문객들이 머물 수 있는 게스트룸이 설치되며 냉탕과 온탕, 건식 시설을 갖춘 사우나 시설도 들어설 계획이다.

백양산 롯데캐슬 골드센트럴 계약자 대출안내
계약자 대출안내 - 계약자별로 법률의 변경 및 정부의 부동산 정책(주택담보대출의 제한 등), 금융시장 변화 또는 대출기관의 규제 등에 따라 사업주체의 중도금대출 알선이 제한될 수 있음을 인지하고 계약을 체결하여야 하며, 이러한 제한에도 불구하고 분양대금은 계약자 본인 책임하에 조달하여 기일 내에 납부하여야 합니다. (중도금대출 취급기관의 알선은 사업주체 및 시공자의 의무사항이 아니며, 계약자에 대한 편의제공에불과함)
백양산 롯데캐슬 골드센트럴 계약금
- 대출관련 세부내용은 당사 견본주택에서 별도 공지 및 안내 예정이며, 사업주체가 지정한 금융기관(추후 별도 안내 예정)을 통해 융자 예정이나, 관련정책 및 대출상품의 종류, 개인의 사정 등으로 대출한도가 계약자별로 상이하거나 대출이 불가할 수도 있으므로 계약자는 지정한 금융기관에 사전에 반드시 확인하시기 바랍니다. (재외동포 및 외국인의 경우 대출가능여부 반드시 확인) - 계약자는 법률의 변경 및 정부의 부동산 정책(주택담보대출의 제한 등), 금융시장 변화에 따라 중도금 대출조건 등이 제한될 수 있음을 인지하고 이러한 제한에도 불구하고 분양대금을 자기 책임하에 조달하여 기일내에 납부하여야 합니다. 분양대금에 대해서 아래에서 확인하세요.
백양산 롯데캐슬 골드센트럴 중도금
- 중도금 대출에 필요한 보증수수료, 인지대 등 제반비용은 계약자가 부담해야 하며, 금융 신용불량거래자 등 계약자 본인의 개인적인 사정에 의한 대출이 불가하거나 대출한도가 부족할 경우 계약자는 분양대금 납부조건에 따라 중도금(잔금)을 직접 납부(이와 관련 하여 별도로 통지하지 않으며 미납시 연체료가 가산됨)하여야 하며, 대출 불가사유로 인한 계약해지를 주장할 수 없습니다.

백양산 롯데캐슬 골드센트럴 잔금
- 계약자는 분양대금의 10%(계약금)완납 시 중도금 대출을 실행할 수 있으나 정부 및 금융기관의 정책 및 대출상품의 종류, 계약자의 개인사정(신용불량, 대출한도초과, 각종보증서발급 제한 등) 등으로 대출한도가 개인별로 상이하거나 대출이 불가할 수도 있으며 이에 따른 대출불가 및 축소 등의 사유로 인한 계약자의 불이익에 대한 모든 책임은 계약자에게 있으며 이와 관련하여 사업주체에게 일체의 이의를 제기할 수 없으며 계약자는 분양대금(미납대금, 연체료 포함)을 계약자의 부담으로 사업주체에게 납부하여야 합니다. 계약금 중도금에 대해서는 아래에서 더 알아보세요.
- 사업주체가 지정하지 않은 대출기관으로부터 계약자가 직접 대출받은 경우에는 대출이자 대납이 불가하므로 계약자가 대출이자를 해당 기관에 직접 납부하여야 합니다.
- 중도금 대출협약 조건에 의거 계약금 10% 완납 이후 중도금 대출이 가능하며, 2차 계약금 미납 시 중도금 대출이 불가하므로 이점 유의하시기 바랍니다.

- 본 아파트의 입주지정일이 앞당겨지거나 늦춰질 경우에도 대출용 자금에 대한 이자는 변경된 입주지정일 최초일 전일까지 당사(사업주체)가 대납하며, 변경된 입주지정일 최초로 발생하는 이자는 계약자가 직접 납부하여야 합니다.
- 중도금 대출은 계약금 완납 후 사업주체가 지정한 금융기관을 통해 융자가 가능함을 원칙으로 하나 관련 정책 및 대출상품의 종류에 따라 중도금 일정은 변동될 수 있으며, 금융기관은 약정 후 변경될 수 있으며, 계약자는 이에 동의하여 이의를 제기할 수 없음에 유의하시기 바랍니다. - 정부정책, 금융기관, 사업주체 및 시공자의 사정 등으로 대출관련 제반 사항(대출 취급기관, 조건 등)이 변경되더라도 사업주체 및 시공자에 책임을 물을 수 없습니다.
- 사업주체가 지정한 금융기관을 통한 중도금 대출이자는 분양가의 총 60% 내에서 최초 입주지정일 전일까지 사업주체가 대신 납부하며, 최초 입주지정일부터 발생하는 이자는 입주여부와 관계없이 계약자가 부담하여야 합니다.
- 자세한 융자지원 부분은 별도로 안내할 예정이며, 중도금 대출금액은 금융기관 및 정부의 부동산 정책에 따라 축소될 수 있으며, 특히 입주시 금융기관의 사정에 따라 담보비용이 감소할 수 있습니다. 이 경우 계약자는 중도금 대출금액 중 일부를 상환하여야 합니다.

- 대출은행과 중도금대출 협약 등에 의거 대출금융기관에 중도금 대출을 위한 계약사항에 대한 정보를 제공할 수 있으며 계약자는 이에 동의한 것으로 간주합니다.
- 사업주체 및 시행위탁사, 시공사의 부도, 파산 등으로 보증사고가 발생할 경우 사업주체가 분양대금계좌 내 신탁재산의 한도내에서 대납하던 중도금 대출이자는 계약자가 부담하여야 하는 경우가 발생할 수 있습니다.
- 중도금 대출기간 이내라도 계약자의 금융 신용불량 등 결격사유 등이 발생하여 대출 금융기관의 중도금 대출중단 등 요구에 따라 분양대금이 납부되지 않을 경우 계약이 해지될 수 있으며, 이에 대한 이의를 제기할 수 없습니다.
※ 본 입주자모집공고에 명시되지 않는 사항은 본 계약서의 약관에 따릅니다.
- 주택도시보증공사와 주택금융공사 중도금 대출보증(9억원 이하 주택)은 투기지역, 투기과열지구, 청약과열지역의 경우 세대당 1건으로 제한되었으며, 금융기관의 대출조건에 따라 일부 중도금대출에 제한이 있을 수 있습니다. - 2018.09.13 발표된 『주택시장 안정대책』에 따라 투기지역, 투기과열지구, 조정대상지역은 1주택 보유세대는 주택 신규 구입을 위한 주택담보대출을 원칙적으로 금합니다. [단, 추가 주택구입이 이사, 부모 봉양 등 실수요이거나 기존주택을 2년 이내 처분조건(거주변경, 결혼, 동거봉양 등), 기존주택 보유 인정(무주택자인 자녀의 분가, 타 지역에서 거주중인 만60세 이상 부모 별거봉양등) 등의 예외 허용]
- 2주택 이상 보유세대는 규제지역 내 주택 신규 구입을 위한 주택담보대출 금지 - 금융시장의 경색 또는 변동성으로 인하여 선정된 중도금대출 금융기관의 특유성(업종, 업태 등) 및 대출형태에 따라 부득이 계약자의 신용등급에 부정적 영향을 미칠 수 있으며, 이 경우 계약자는 이의를 제기할 수 없습니다.
- 적격대출 시 중도금 대출약정 기간은 중도금 대출 기관 확정 후 별도 안내 예정이며, 대출이자는 사업주체가 지정하는 입주지정 개시일 전일까지는 사업주체가 대납하고 이후 발생하는 대출이자는 계약자 본인이 해당 대출금융기관에 직접 납부하여야 합니다. - 계약자는 입주시 사업주체가 지정하는 기일 내에 중도금 대출금을 상환 하여야 합니다. 이를 이행하지 않을 경우 입주가 거부 될 수 있으며, 납부지연으로 연체이자 등을 부담하여야 합니다.

- 사업주체 및 시공자가 알선하지 않은 금융기관으로부터 계약자가 직접 대출받은 경우 그에 대한 이자는 계약자가 해당 금융기관에 직접 납부하여야 합니다.
- 계약자는 입주 전까지 대출금을 상환하거나 담보대출로 전환하여야 하며, 대출금을 담보대출로 전환하고자 하는 경우에는 공급금액을 전액 완납하고 소유권 이전 및 근저당권 설정에 필요한 서류를 제출하여야 합니다. 또한, 담보대출에 따른 보증수수료, 인지대등 제반 수수료 및 근저당설정 비용 등은 대출금융기관이 정한 부담 주체가 부담하여야 하며, 담보 전환 시 대출한도, 대출금리 등 기타대출조건 등은 대출금융기관의 조건에 따르기로 합니다.
■ 입주자 사전점검 관련
- 「주택공급에 관한 규칙」제21조 제3항 제27호에 의거 사용검사 전에 계약자가 도장공사·도배공사·가구공사·타일공사·주방용구 공사 및 위생기구공사의 상태를 확인할 수 있도록 입주자 사전방문 행사를 실행하며 그 일자는 추후 통보함
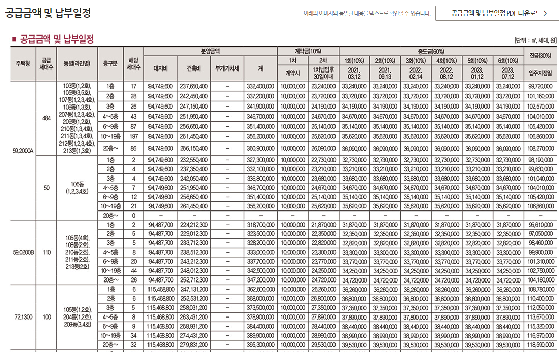
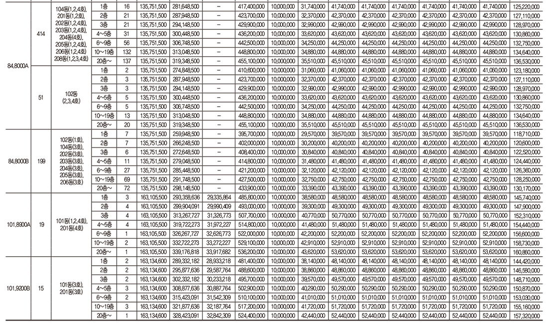
백양산 롯데캐슬 골드센트럴 분양가
부산을 포함한 지방광역시에서는 오는 8월 이후로 민간택지에서 분양하는 주택은 소유권이전등기시까지 전매가 제한된다. 백양산 롯데캐슬 골드센트럴은 규제 시행 이전에 분양돼 이 규정을 적용 받지 않는다.
백양산 롯데캐슬 골드센트럴 모델하우스
청약일정은 22일 특별공급을 시작으로 23일 1순위, 24일 2순위 순서로 진행된다. 청약은 한국감정원 ‘청약Home(홈)’을 통해 할 수 있으며 당첨자 발표는 30일, 정당계약은 7월 13일~7월 16일이다.
'부동산 아파트 분양' 카테고리의 다른 글
| 더샵 광교산 퍼스트파크 줍줍 분양가 이거네~ (0) | 2020.06.25 |
|---|---|
| 신광교 제일풍경채 임대료 (0) | 2020.06.25 |
| 운서 2차 SK뷰 스카이시티 분양 평면도 모델하우스 계약금 중도금 잔금 (0) | 2020.06.22 |
| 위례신도시제일풍경채 평면도 분양가 모델하우스 (0) | 2020.06.20 |
| 여주역 금호어울림 베르티스 분양가 평면도 모델하우스 중도금 대출 (0) | 2020.06.20 |
